常用公式-- 晶面夹角的计算公式

发布者:周朋发布时间:2009-12-01浏览次数:14834

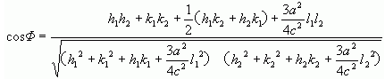
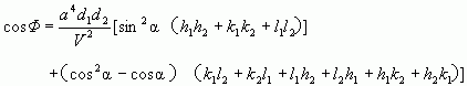
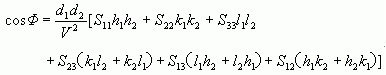
设晶面(h1k1l1)和晶面(h2k2l2)的面间距分别为d1、d2。则二晶面的夹角φ以下列公式计算(V为单胞体积)。
立方晶系:


正方晶系:


六方晶系:


正交晶系:


菱方晶系:


单斜晶系:


三斜晶系:

Baidu
map